• Предмет: Алгебра
  • Автор: vanek010120
  • Вопрос задан 8 лет назад

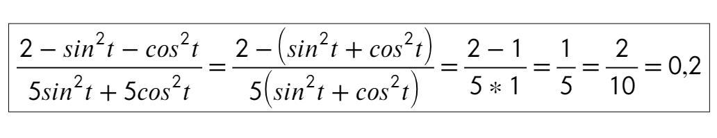
упростить выражение​

Приложения:

Ответы

Ответ дал: VladAnronov
0

Ответ:

Ответ: 1/5 и все на этом :)

Ответ дал: logop43275
0

................................

Приложения:
Вас заинтересует