Ответы
Ответ дал:
0
Ответ:
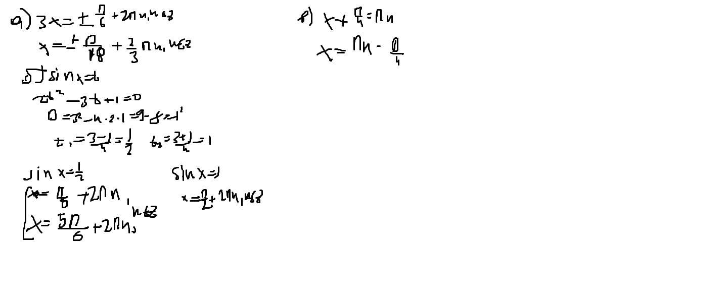
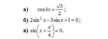
смотри во вложении
Приложения:

Ответ дал:
0
А) 2 строчка В) последняя строчка Б) 2 строчка
Вас заинтересует
2 года назад
3 года назад
3 года назад
8 лет назад
9 лет назад