• Предмет: Математика
  • Автор: mrkini246
  • Вопрос задан 2 года назад

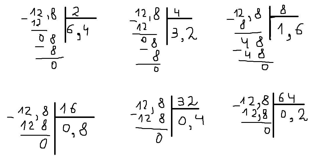
12,8 :2 4 8 16 32 64 столбиком

Ответы

Ответ дал: rodionchik2003
0

Вот все ответы, которые тебе нужны:

Приложения:
Вас заинтересует