• Предмет: Алгебра
  • Автор: umnik282
  • Вопрос задан 8 лет назад

СРОЧНО НАДО
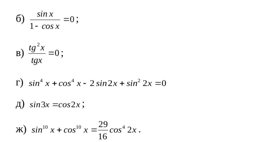
помогите пожалуйста Б Г и Ж
ДАЮ ВСЕ СВОИ БАЛЛЫ УМОЛЯЮ

Приложения:

Ответа на этот вопрос пока нет. Попробуйте найти его через форму поиска.

Вас заинтересует