• Предмет: Алгебра
  • Автор: natali1828
  • Вопрос задан 8 лет назад

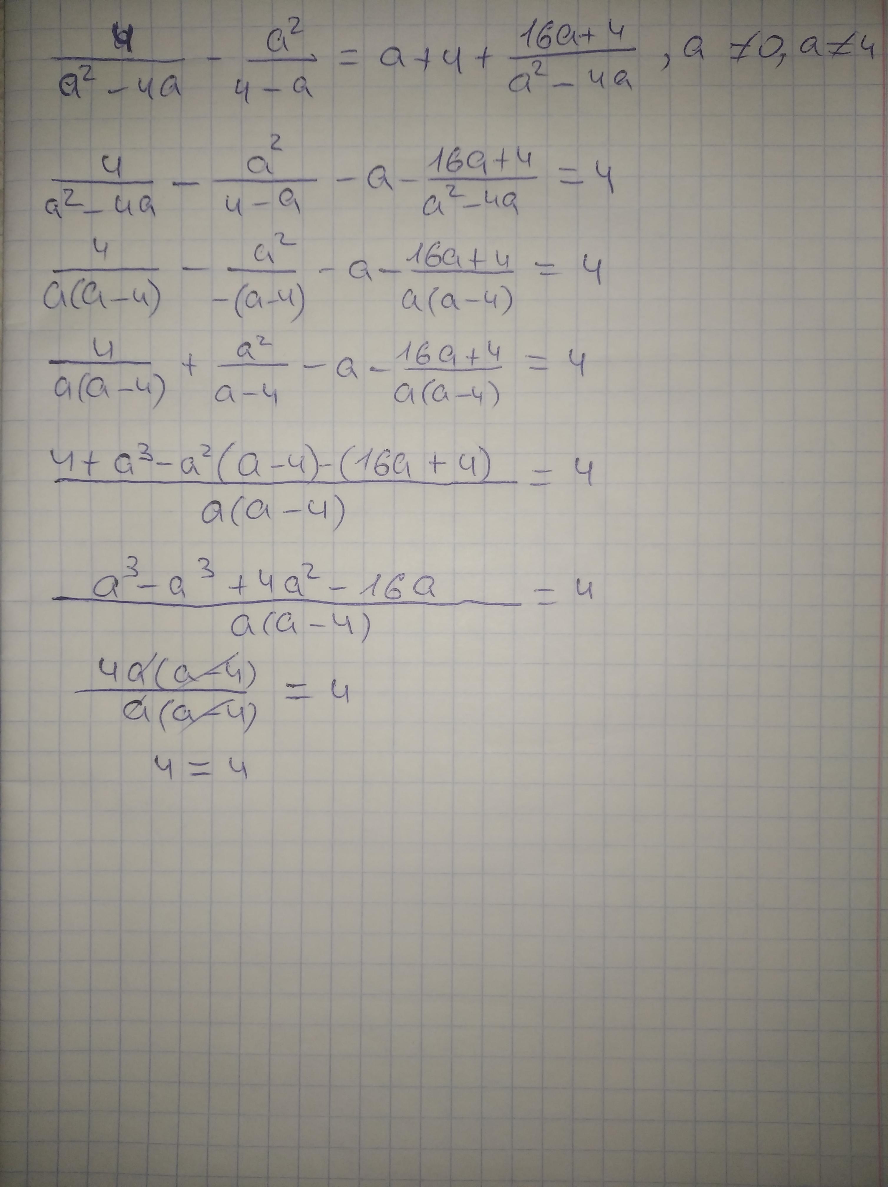
Помогите пожалуйста решить вариант 1 задание С1

Приложения:

Ответы

Ответ дал: Kola356y
0

Ответ:

Объяснение:

Все написано на листке

Приложения:
Вас заинтересует