• Предмет: Математика
  • Автор: Dmitriy114
  • Вопрос задан 8 лет назад

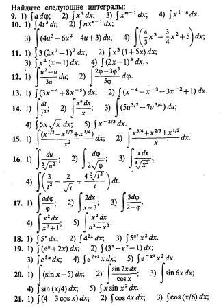
Найти интегралы 60 балов!!!
Номера 10(4) 11(2) 13(2) 14(2) 19(2) 20(2)

Приложения:

Ответа на этот вопрос пока нет. Попробуйте найти его через форму поиска.

Вас заинтересует