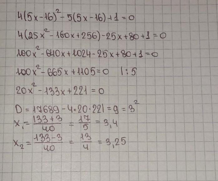
Реши квадратное уравнение 4(5x−16)2−5(5x−16)+1=0
(первым вводи больший корень):
x1 = ; x2 = .
❗❗❗❗❗❗❗❗❗❗
Дополнительный вопрос:
какой метод рациональнее использовать?
Разложение на множители
Вынесение за скобку
Раскрытие скобок
Метод введения новой переменной
Ответить!!!
помогите пж срочно❗❗❗❗❗❗❗
Ответы
Ответ дал:
0
Ответ:
.........................
Приложения:

Вас заинтересует
2 года назад
2 года назад
3 года назад
3 года назад
8 лет назад
8 лет назад
9 лет назад