• Предмет: Алгебра
  • Автор: sanekbobo14gmailcom
  • Вопрос задан 8 лет назад

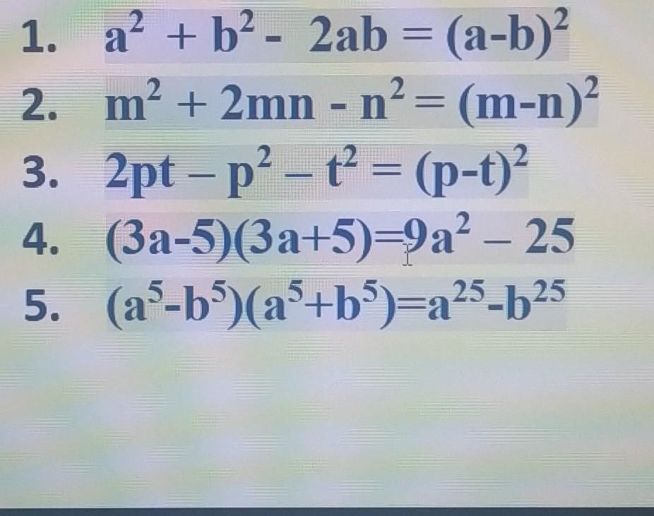
Отметить верные выражения «да», неверные
выражения «нет»

Приложения:

Ответы

Ответ дал: taniacat06
0

Объяснение:

1.нет

2.да

3.нет

4.да

5.да

Вас заинтересует