• Предмет: Математика
  • Автор: katyamalina2
  • Вопрос задан 8 лет назад

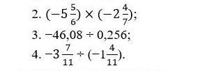
Выполните действия(можно только ответы)

Приложения:

Ответа на этот вопрос пока нет. Попробуйте найти его через форму поиска.

Вас заинтересует