• Предмет: Математика
  • Автор: susurukat01sasha
  • Вопрос задан 2 года назад

Решите пожалуйста по максимуму) даю 65 баллов

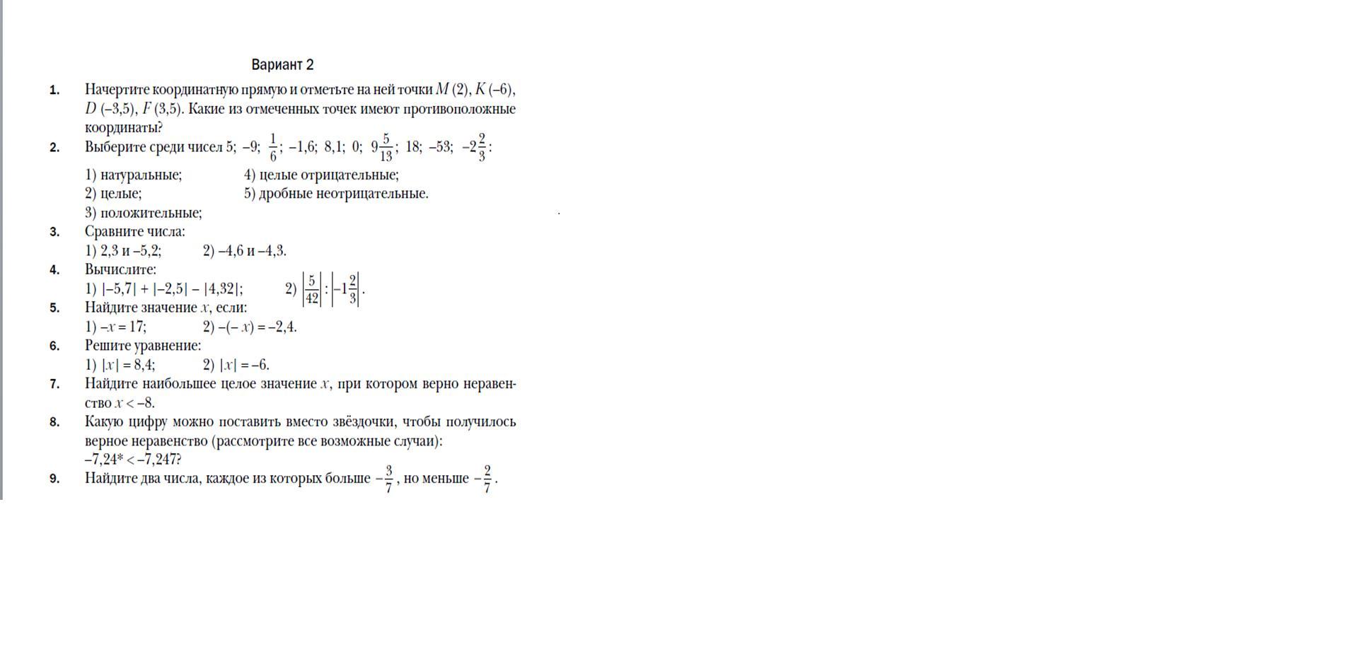
Приложения:

Ответы

Ответ дал: Помощник123321
1

Ответ:

Пошаговое объяснение:

1. чертёж

2. натуральные : 5

целые: 5, 0, -9, 18, -53

положительные: 5, 1/6, 8,1, 18, 9 5/18

целые отрицательные: -53, -9

дробные неотрицательные: 1/6, 8,1, 9 5/18

3. 2,3 > -5,2

-4,6 < -4,3

4. none

5. -х=17 l (:-1)

х=17

2) - (-х) = -2.4

х=-2.4

6. lxl=8.4

x= + 8.4, -8.4

2) lxl= -6

решений нет

7. x<-8

x= -7

8. -7.24*< -7.247

*=8 или 9 ( любое)

9. -2.5/7 -2.6/7


Помощник123321: 4 не решил, немного занят, извини
Вас заинтересует