• Предмет: Физика
  • Автор: mishagaytko
  • Вопрос задан 8 лет назад

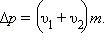
Молоток массой m = 1 кг ударяет по гвоздю со скоростью υ1 = 5 м/с и отскакивает после удара со скоростью υ2 = 4 м/с. Предполагая время контакта молотка с гвоздём равным Δt = 10–3 с, определите, с какой средней силой молоток действует на гвоздь во время удара.Помогите плз

Ответы

Ответ дал: PakVadim
0

Изменение импульса за время удара равно: 1 картинка

Средняя сила, действующая на гвоздь за время удара, составляет: 2 картинка

Объяснение:

Приложения:
Вас заинтересует