• Предмет: Алгебра
  • Автор: embosss2004
  • Вопрос задан 8 лет назад

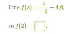
помогите! алгебра 7 класс

Приложения:

Ответа на этот вопрос пока нет. Попробуйте найти его через форму поиска.

Вас заинтересует