• Предмет: Алгебра
  • Автор: potrokelta
  • Вопрос задан 8 лет назад

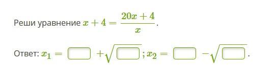
Рациональное уравнение реши уравнение x+4=frac{20x+4}{x}

Приложения:

Ответа на этот вопрос пока нет. Попробуйте найти его через форму поиска.

Вас заинтересует