Пожалуйста помогите мне. Это алгебра 7 класс. Ответьте на все вопросы, пожалуйста.
1))))Які кроки необхідно виконати, щоб розв'язати систему рівнянь способом підстановки?
Варіанти відповідей: ↓
1.)додати почленно ці рівняння.
2.)виразити з будь-якого рівняння системи одну змінну через другу
3.)Вираз, який отримали з першого рівняння, підставити в друге рівняння системи
4.)обудувати графіки функцій
5.)озв'язати лінійне рівняння з однією змінною
6.)зробити табличку для значень функції.
Теперь 2 вопрос. :
2) Виразіть змінну у через змінну х, якщо 6х+у=8.
Варіанти відповідей: ↓
1.)у = 4 - 3х
2.)у = 8 - 6х
3.)у = 6х - 8
4.)у = 8 + 6х
Теперь 3 вопрос. ↓
3) Яку змінну краще виразити і з якого рівняння:
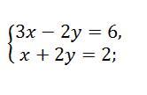
{3x- 2y = 6,
{x + 2y = 2;
Варіанти відповідей:
1.) х з першого рівняння
2.)у з першого рівняння
3.)х з другого рівняння
4.)у з другого.
Теперь 4 вопрос. ↓
4).Виразіть у рівнянні 2х + 3у = - 7 змінну х через змінну у.
Варіанти відповідей: ↓
1.)у = (-7 - 2х)/3
2.)х = (-7 + 3у)/2
3.)у = (-7 + 2х)/3
4.)х = (-7 - 3у)/2.
Теперь 5 вопрос. ↓
5) Визначте у якій з наведених нижче рівностей правильно виконано підстановку для розв'язування.
{x = 3y - 2,
{2x + 3y =9.
варіанти відповідей:↓
1.)2(3у - 2) + 3у = 9
2.)2(3у + 2) +3у = 9
3.)2х + 3(3у - 2) = 9
4.)2х + 3(3у + 2) = 9
Спасибо заранее.
Приложения:


Ответы
Ответ дал:
0
Ответ:
ПОЧОК ПОТiК
Объяснение:
Вас заинтересует
2 года назад
3 года назад
3 года назад
8 лет назад
8 лет назад
9 лет назад
9 лет назад