• Предмет: Математика
  • Автор: fibik4
  • Вопрос задан 8 лет назад

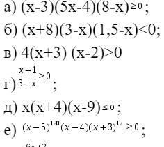
Срочно нужно решить задание по Алгебре 9 класс "Решение неравенств методом интервалов"

Приложения:

Ответа на этот вопрос пока нет. Попробуйте найти его через форму поиска.

Вас заинтересует