ДАМ 30 БАЛЛОВ ПОМОГИТЕ РЕШИТЬ ПОЖАЛУЙСТА буду благодарен
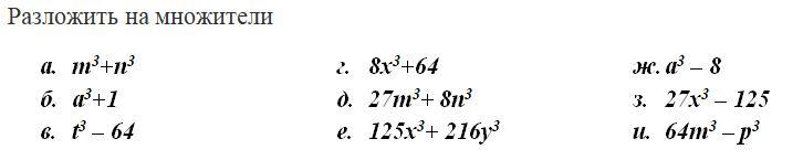
ТЕМА: Разложение на множители суммы и разности кубов
Приложения:

Ответа на этот вопрос пока нет. Попробуйте найти его через форму поиска.
Вас заинтересует
2 года назад
3 года назад
8 лет назад
8 лет назад
9 лет назад