• Предмет: Алгебра
  • Автор: Gamer2032
  • Вопрос задан 8 лет назад

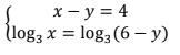
1) Решить систему уравнений
2)Найти область определения функции

Приложения:

Ответа на этот вопрос пока нет. Попробуйте найти его через форму поиска.

Вас заинтересует