• Предмет: Алгебра
  • Автор: DOGCCCP
  • Вопрос задан 8 лет назад

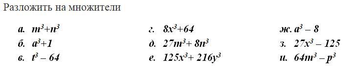
ДАМ 30 БАЛЛОВ СРОЧНО ПОМОГИТЕ! ПЖЛСТ

Приложения:

Ответа на этот вопрос пока нет. Попробуйте найти его через форму поиска.

Вас заинтересует