• Предмет: Алгебра
  • Автор: dslkflggmsge123
  • Вопрос задан 8 лет назад

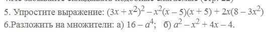
Алгебра 7 класс помогите срочно





















Приложения:

Ответа на этот вопрос пока нет. Попробуйте найти его через форму поиска.

Вас заинтересует