• Предмет: Математика
  • Автор: A178rus
  • Вопрос задан 8 лет назад

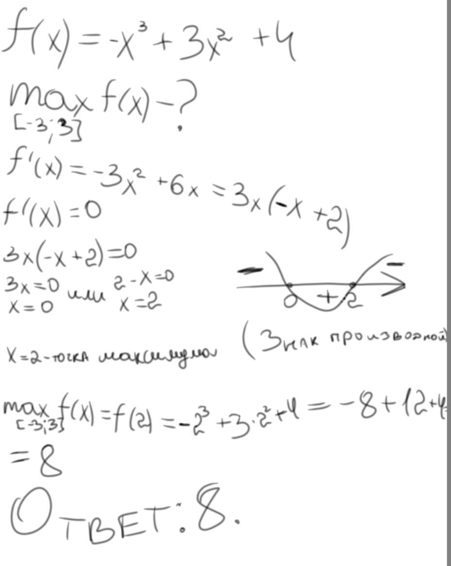
Найдите наибольшее значение функции f(x) =–х^3+3х^2+4 на отрезке [–3;3]

Ответы

Ответ дал: RikliX
0

Ответ:

8

Пошаговое объяснение:

См. на фото

Приложения:
Вас заинтересует