• Предмет: Математика
  • Автор: jasonvoorh9
  • Вопрос задан 8 лет назад

СРОЧНО ПОМОГИТЕ С МАТЕМАТИКОЙ

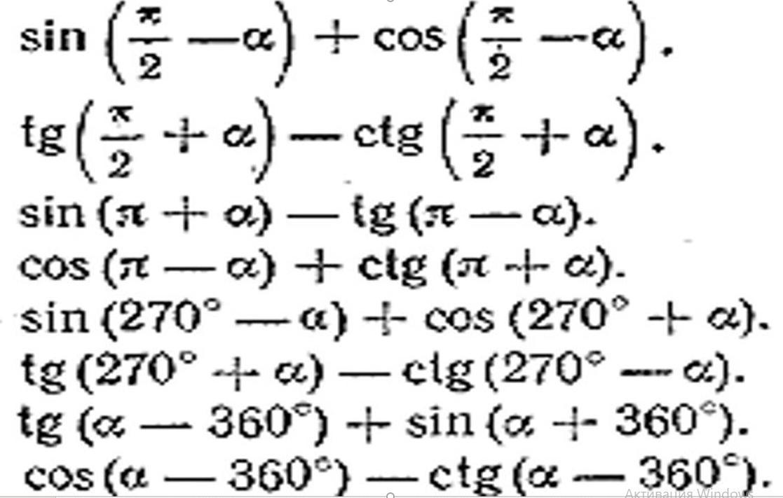
Приложения:

Ответа на этот вопрос пока нет. Попробуйте найти его через форму поиска.

Вас заинтересует