Выполни задание:
2х+15у-4=0
а=
в=
с=
4. Является ли решением уравнения 2х+3у-23=0 пара чисел
а) (4, 5);
б) (-3;4)?
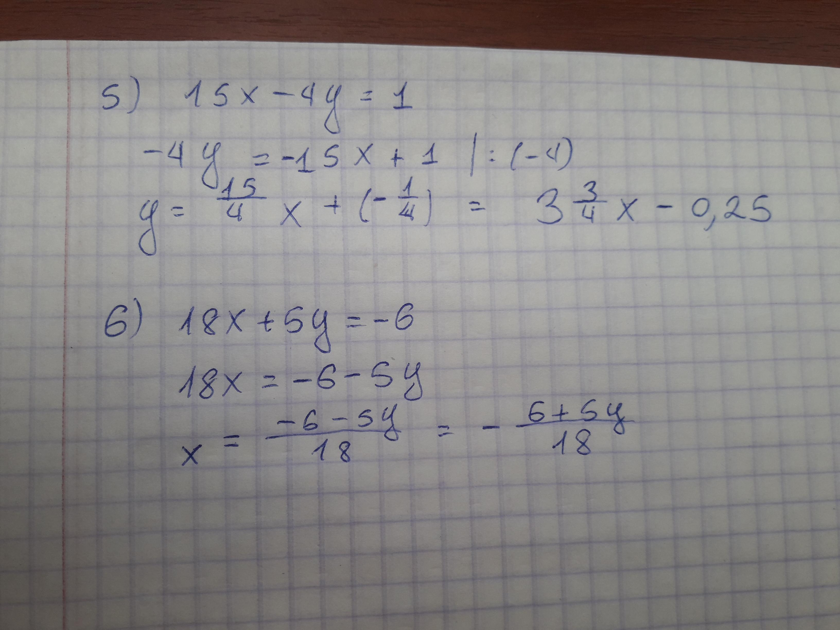
5. Вырази х через у :
15х-4у=1
6.Вырази у через х:
18х+5у=-6
решите пожжалуйста
Ответы
Ответ дал:
0
Ответ на фото))
Если я тебе помог, оцени мои старани
Приложения:


Вас заинтересует
2 года назад
2 года назад
3 года назад
3 года назад
8 лет назад
8 лет назад
9 лет назад