Ответы
Ответ дал:
0
Ответ:1/2
Объяснение:
Приложения:

Ответ дал:
0
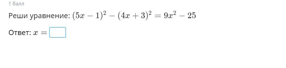
(5x-1)²-(4x+3)²=9x²-25
(25x²-10x+1)-(16x²+24x+9)=9x²-25
25x²-10x+1-16x²-24x-9=9x²-25
9x²-34x-8=9x²-25
-34x-8=-25
-34x=-17
x=-17÷(-34)
x=0,5
Как ты это не можешь решить, не понимаю.
Приложения:

Вас заинтересует
2 года назад
2 года назад
3 года назад
3 года назад
8 лет назад
8 лет назад
9 лет назад