• Предмет: Математика
  • Автор: Vlad10373
  • Вопрос задан 8 лет назад

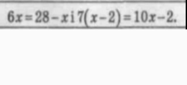
Знайдiть сумму коренiв рiвняннь

Приложения:

Ответа на этот вопрос пока нет. Попробуйте найти его через форму поиска.

Вас заинтересует