• Предмет: Алгебра
  • Автор: DOGCCCP
  • Вопрос задан 8 лет назад

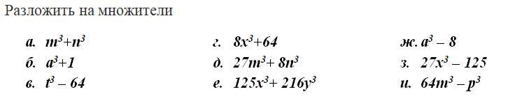
СРОЧНО ПОМОГИТЕ ДАМ 35 БАЛЛОВ

Приложения:

Ответы

Ответ дал: dna0606
0

Ответ:

а)(m+n)(m^2-mn+n^2)

б)(а+1)(а^2-а+1)

в)(t-4)(t^2+4t+16)

г)8 (x+2)(x^2-2x+4)

d)(3m+2n)(9m^2-6mn+4n^2)

e)(5x+6y)(25x^2-30xy+36y^2)

ж)(а-2)(а^2+2а+4)

з)(3x-5)(9x^2+15x+25)

u)(4m-p)(16m^2+4mp+p^2)

Вас заинтересует