• Предмет: Алгебра
  • Автор: rurieid
  • Вопрос задан 2 года назад

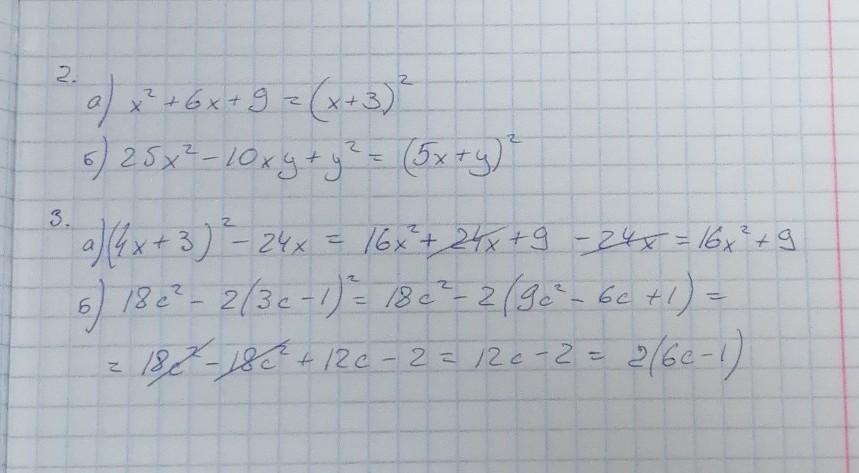
помогите срочно!,через 20минут должен отправить учителю.Буду очень благодарен,прямо оооочень​

Приложения:

Ответы

Ответ дал: li1520
0

Объяснение:

Очень надеюсь, что смогла помочь)

Приложения:
Вас заинтересует