• Предмет: Алгебра
  • Автор: leravdovina2546
  • Вопрос задан 8 лет назад

помогите пожалуйста очень срочно​

Приложения:

Ответы

Ответ дал: Zombynella
0

Объяснение:

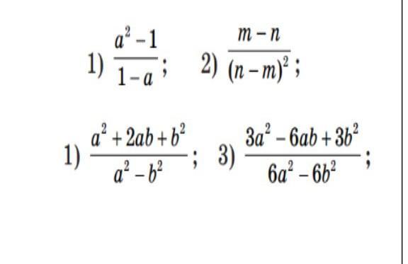
1)(а²-1)/(1-а)=(а²-1)/ -(а-1)=(а-1)(а+1)/-(а-1) сокращение (деление) числителя и знаменателя на (а-1)=

= -(а+1)=1-а

2)(m-n)/(n-m)²= -(n-m)/(n-m)(n-m)= сокращение (деление) числителя и знаменателя на (n-m)=

= -1/ (n-m)

3)(а²+2ab+b²)/a²-b²=

в числителе квадрат суммы (a+b)², в знаменателе разность квадратов  

a²-b²=(a-b)(a+b)

=(a+b)²/(a-b)(a+b)= (a+b)(a+b)/(a-b)(a+b)   сокращение на (a+b)

=(a+b)/(a-b)

4)(3a²-6ab+3b²)/(6a²-6b²)=3(a²-2ab+b²)/6(a²-b²)=

в числителе квадрат разности 3(a-b)², в знаменателе разность квадратов 6(a²-b²)=6(a-b)(a+b)

=3(a-b)²/6(a-b)(a+b)=3(a-b)(a-b)/6(a-b)(a+b)=

сокращение числителя и знаменателя на 3(a-b)

=(a-b)/2(a+b)

Вас заинтересует