• Предмет: Алгебра
  • Автор: egat20653
  • Вопрос задан 8 лет назад

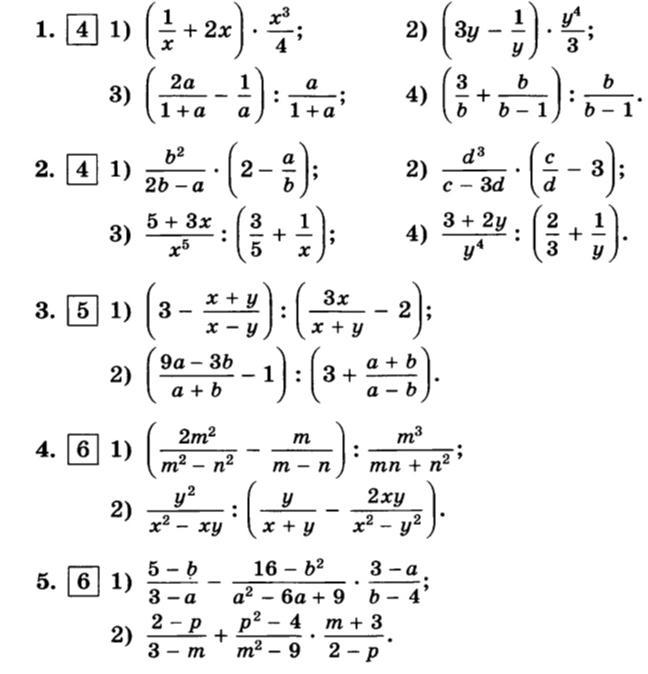
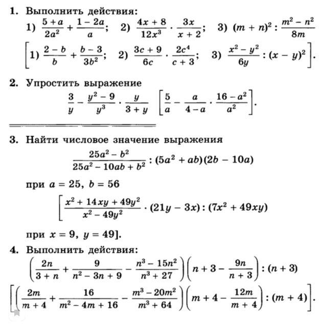
ПОМОГИТЕ ПЛИЗ СРОЧНО НАДО

Приложения:

Ответа на этот вопрос пока нет. Попробуйте найти его через форму поиска.

Вас заинтересует