• Предмет: Алгебра
  • Автор: Xrustina
  • Вопрос задан 8 лет назад

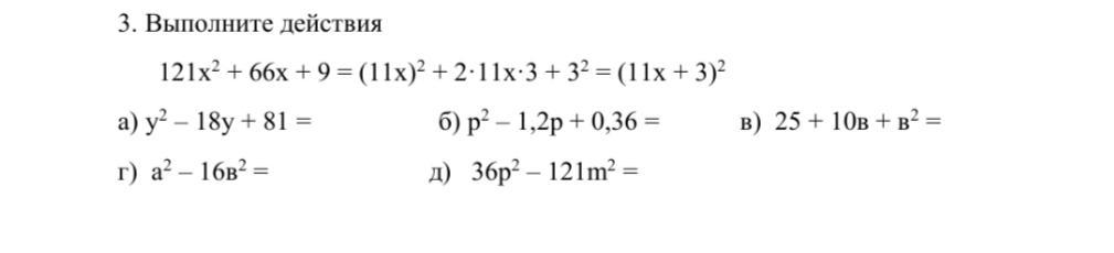
Выполните действия по примеру , заранее спасибо. 7класс

Приложения:

Ответа на этот вопрос пока нет. Попробуйте найти его через форму поиска.

Вас заинтересует