• Предмет: Алгебра
  • Автор: ggagaggwgshsh
  • Вопрос задан 8 лет назад

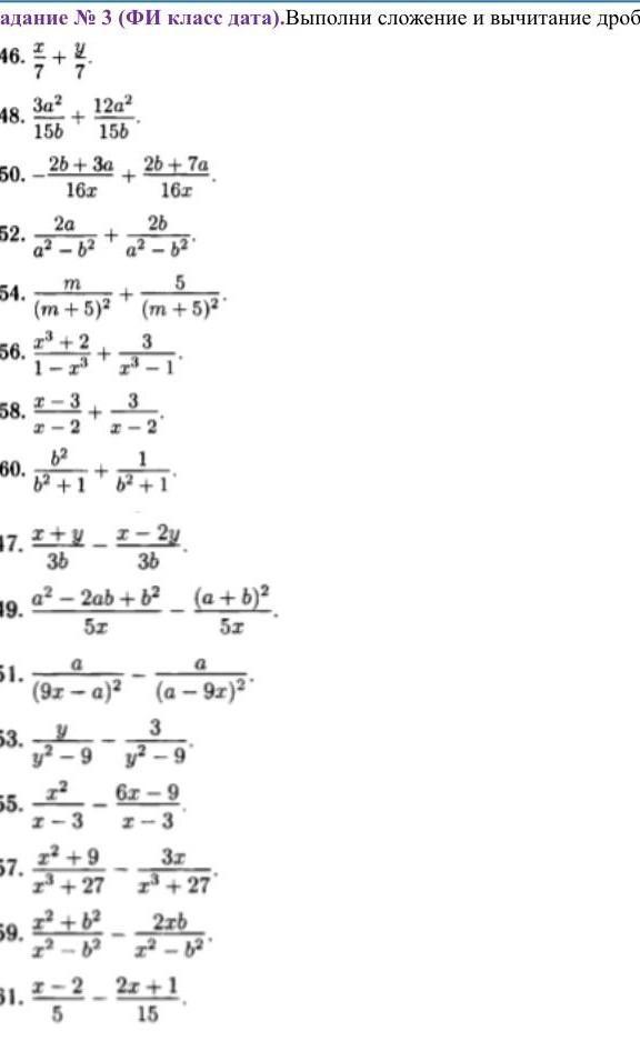
выполни вычитание или сложение дробей​

Приложения:

Ответы

Ответ дал: Newdate
0

Ответ:

1)1/7(x+y)

2)a2/b

3)4a/16x

4)2/a-b

5)1/m+5

6)-1

7)x/x-2

8)1

9)y/b

10)-4ab/5x

11)0

12)1/y+3

13)x-3

14)1/x+3

15)x-b/x+b

16)x-7/15

Вас заинтересует