• Предмет: Математика
  • Автор: N0mix
  • Вопрос задан 8 лет назад

кто может помогите срочно!!!

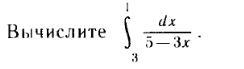
Приложения:

Ответа на этот вопрос пока нет. Попробуйте найти его через форму поиска.

Вас заинтересует