• Предмет: Геометрия
  • Автор: dabu1afv
  • Вопрос задан 11 лет назад

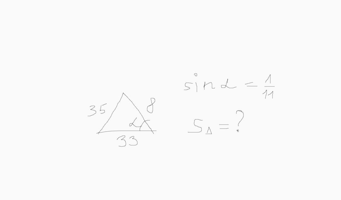
найдите площадь треугольника, если дан синус угла

Приложения:

Ответы

Ответ дал: Caudicle
0
Если известно две стороны треугольника и угол между ними, то площадь данного треугольника вычисляется, как половина произведения этих сторон умноженная на синус угла между ними.
=> S=1/2*33*8*1/11=12
Вас заинтересует