• Предмет: Алгебра
  • Автор: irinakha
  • Вопрос задан 8 лет назад

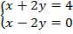
Найти решение системы уравнений

Приложения:

Ответы

Ответ дал: nane005
0
2y и -2y скоращаются, остается 2х=4 делим на два и ответ х=2
Вас заинтересует