• Предмет: Алгебра
  • Автор: sacha3416
  • Вопрос задан 8 лет назад

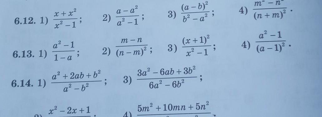
помогите только 6.13 пожалуйста!!!!!!срочно!!​

Приложения:

Ответы

Ответ дал: qurilishmchj
0

Ответ:

(a²-1)/(1-a)=(a-1)(a+1)/-(a-1)=-a-1

(m-n)/(n-m)²=-(n-m)/(n-m)²=-1/(n-m)

(x+1)²/(x-1)(x+1)=(x+1)/(x-1)

(a-1)(a+1)/(a-1)²=(a+1)/(a-1)

Вас заинтересует