• Предмет: Математика
  • Автор: RaMpaGe314
  • Вопрос задан 8 лет назад

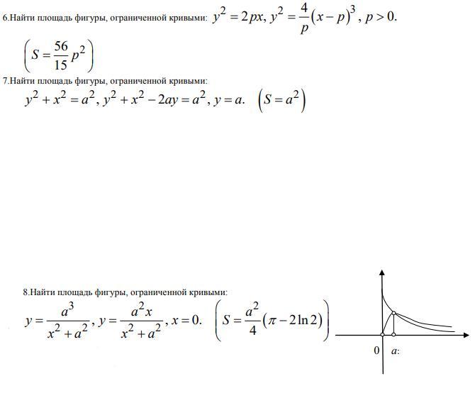
Помогите решить 6,7,8 задания (В ответах должно быть то, что указано в скобках)

Приложения:

Ответа на этот вопрос пока нет. Попробуйте найти его через форму поиска.

Вас заинтересует