• Предмет: Алгебра
  • Автор: vaprosav2
  • Вопрос задан 8 лет назад

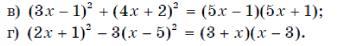
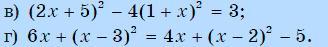
решите пожалуста!!! алгебра 7 класс

Приложения:

Ответа на этот вопрос пока нет. Попробуйте найти его через форму поиска.

Вас заинтересует