Помогите!
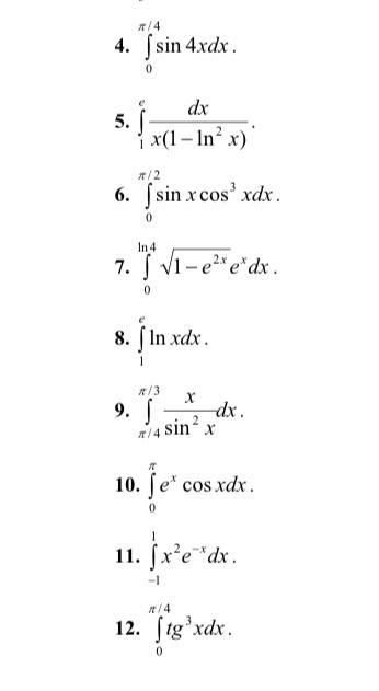
Тема - определенные интегралы, нужно решить 4,8,12 примеры, максимально подробно написать решение, заранее спасибо
Приложения:

Ответа на этот вопрос пока нет. Попробуйте найти его через форму поиска.
Вас заинтересует
2 года назад
2 года назад
3 года назад
3 года назад
8 лет назад