Ответы
Ответ дал:
0
Ответ:
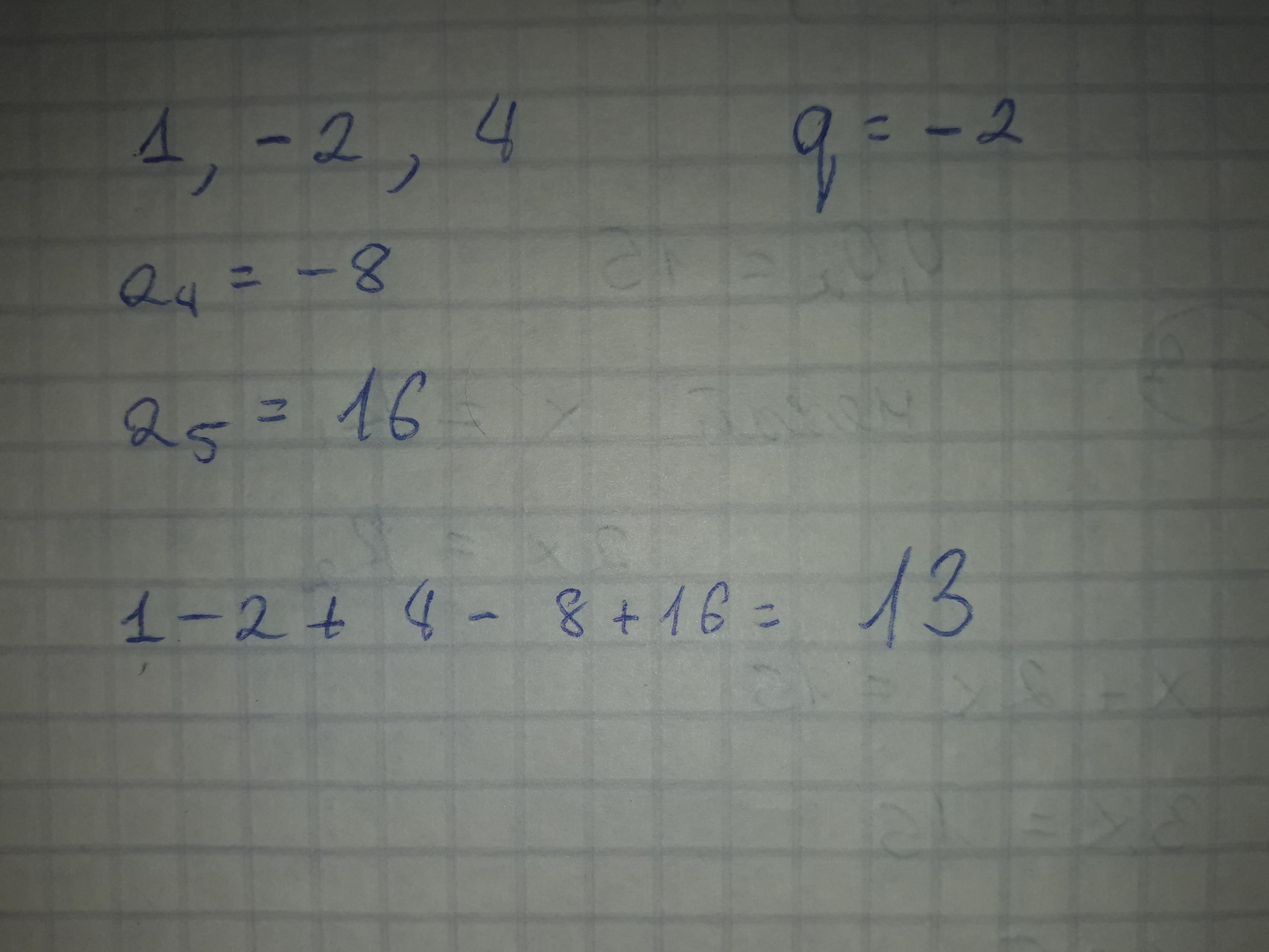
13 подробно на фото
Объяснение:
Приложения:

Ответ дал:
0
сумма равна тринадцати
Приложения:

Вас заинтересует
2 года назад
2 года назад
3 года назад
3 года назад
8 лет назад
8 лет назад
9 лет назад