Ответы
Ответ дал:
1
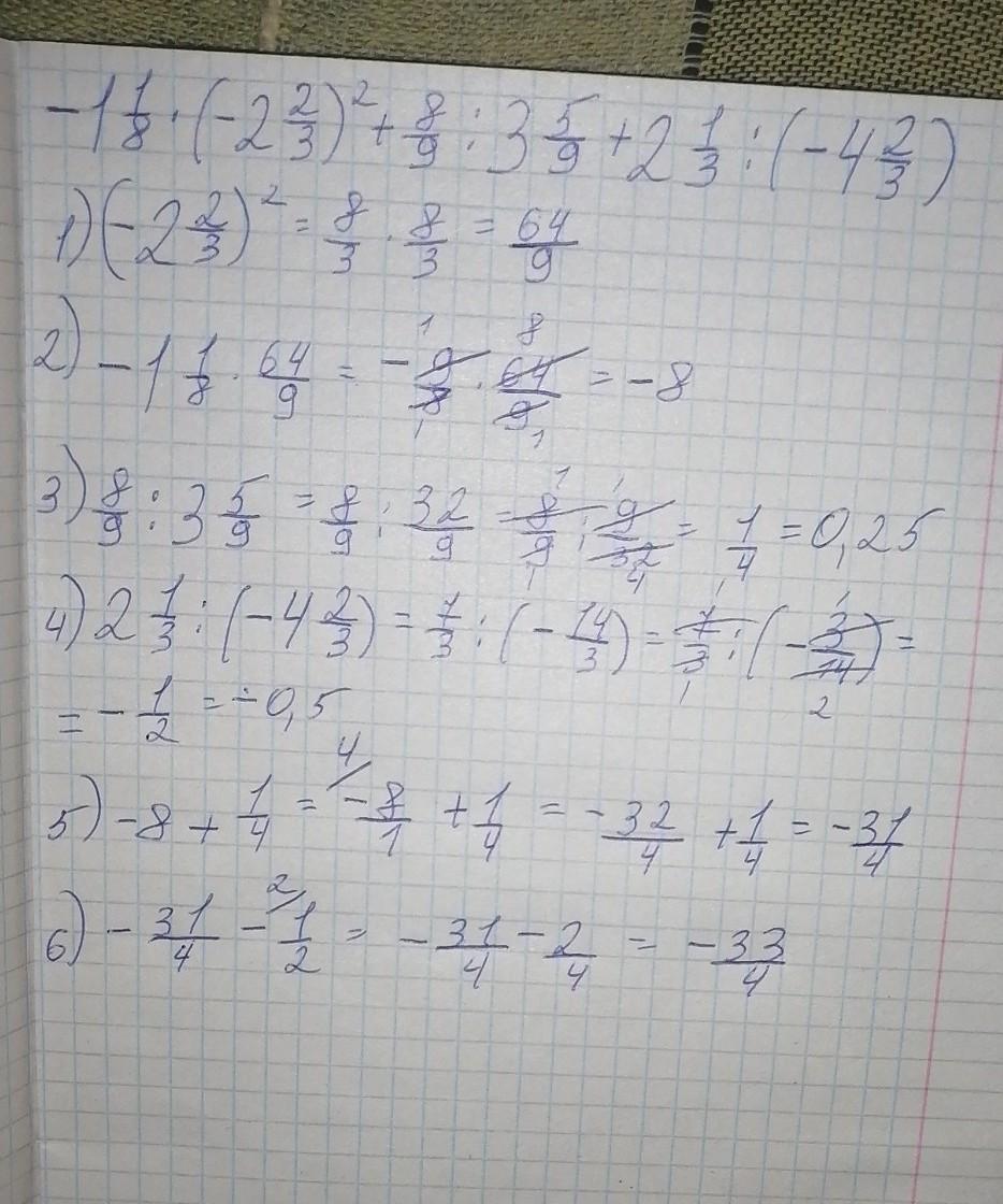
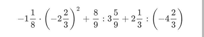
Ответ:
В прикреплённом файле
Приложения:

Вас заинтересует
1 год назад
1 год назад
1 год назад
3 года назад
8 лет назад