• Предмет: Алгебра
  • Автор: HerosteveFeed
  • Вопрос задан 8 лет назад

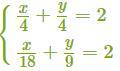
Реши систему уравнений методом алгебраического сложения.

Приложения:

Ответа на этот вопрос пока нет. Попробуйте найти его через форму поиска.

Вас заинтересует