Ответы
Ответ дал:
0
Ответ:
Как-то так:3
Третье не знаю
Приложения:

Ответ дал:
0
Ответ:
Объяснение:
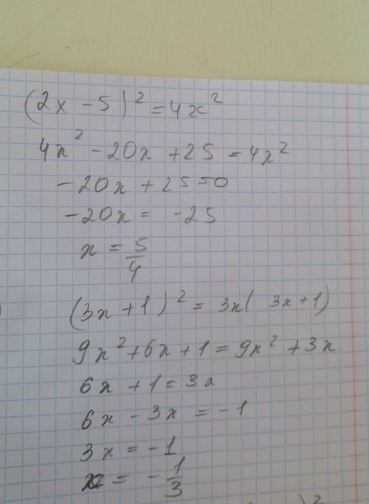
1) (2x-5)^2=4x^2
4x^2-20x+25-4x^2=0
20x=25
x=1,25
2)(3x+1)^2=3x(3x+1)
9х^2+6x+1=9x^2+3x
12x=1
x=1/12
3)(7x-5)^2=7(x+1)^2
49x^2-70x+25=7x^2+14x+7
42x^2-81x+18=0 (дальше не понимаю)
Приложения:

Вас заинтересует
2 года назад
2 года назад
3 года назад
8 лет назад