• Предмет: Алгебра
  • Автор: 111111DA
  • Вопрос задан 8 лет назад

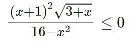
Помогите!!!Очень нужна помощь!!!!

Приложения:

Ответа на этот вопрос пока нет. Попробуйте найти его через форму поиска.

Вас заинтересует