• Предмет: Алгебра
  • Автор: alinaskrimsp3dt1x
  • Вопрос задан 2 года назад

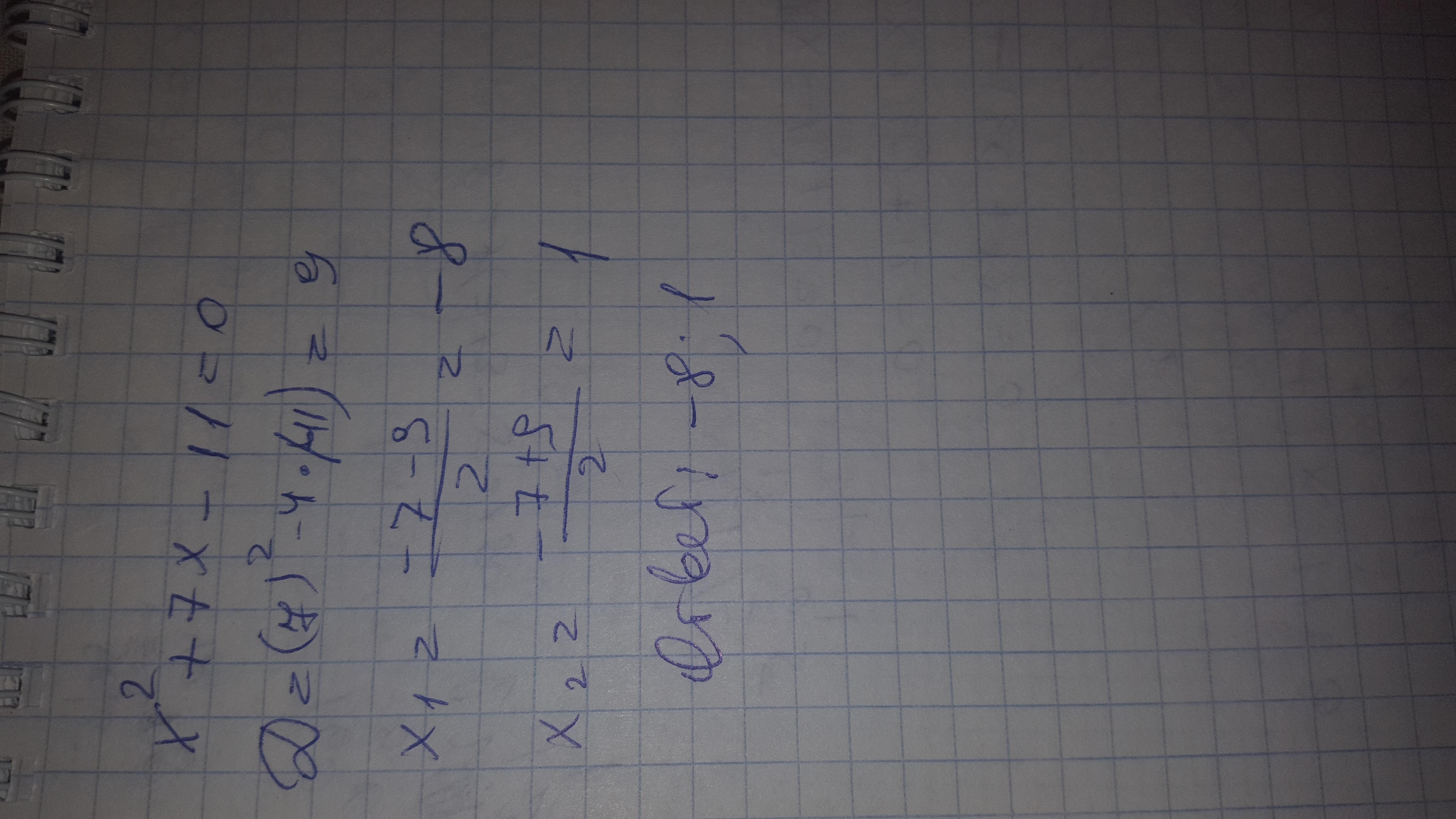
Найти корни x2+7x-11=0


dreamerofsleeps: Это х²?
alinaskrimsp3dt1x: Да

Ответы

Ответ дал: 9052071101
0

Ответ: -8;1

Объяснение:

Приложения:

dreamerofsleeps: Не так. В формуле х1=(b-VD)/2a
Вас заинтересует