• Предмет: Алгебра
  • Автор: 123524365236
  • Вопрос задан 2 года назад

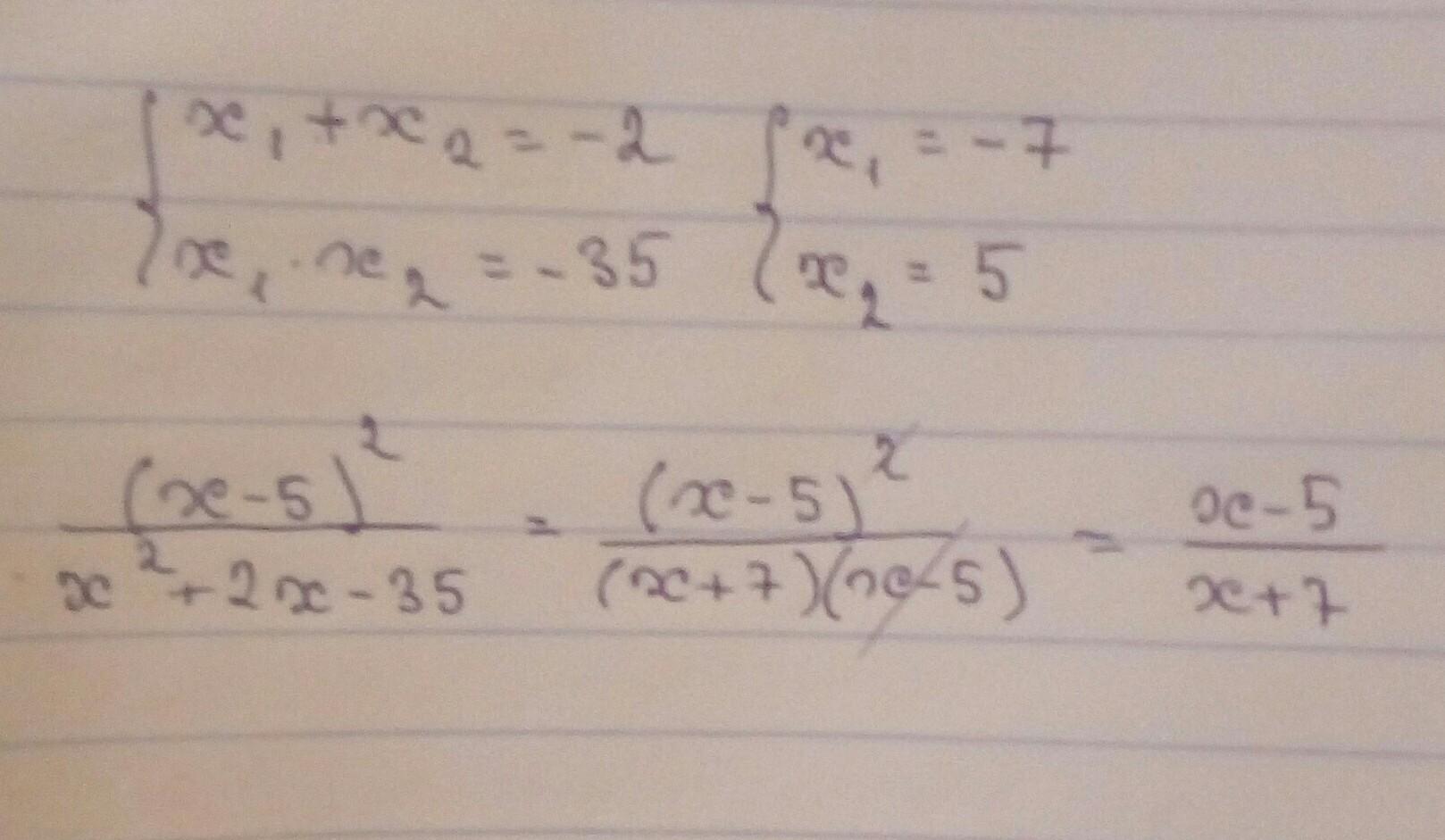
Сократите дробь:
(x−5)2/x2+2x−35.

Приложения:

Ответы

Ответ дал: ЯгодкаЯлесная
1

Ответ:

фоточка тебе в помощь ;)

Приложения:

kilijo4670: Спасибо большое!)
Вас заинтересует