• Предмет: Физика
  • Автор: k1k20kkekq
  • Вопрос задан 8 лет назад

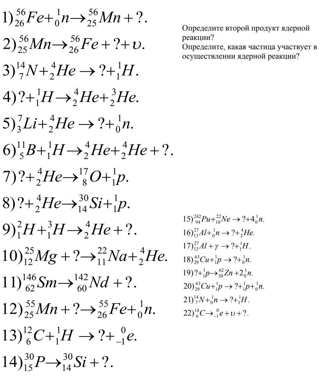
СРОЧНОООО 25 БАЛЛОВ!!!!!
только ЧЕТНЫЕ НОМЕРА!!!​

Приложения:

Ответа на этот вопрос пока нет. Попробуйте найти его через форму поиска.

Вас заинтересует