• Предмет: Математика
  • Автор: kosenkolora06
  • Вопрос задан 8 лет назад

Помогите плз сделать все честно. ​

Приложения:

Ответы

Ответ дал: zerebnyak
0

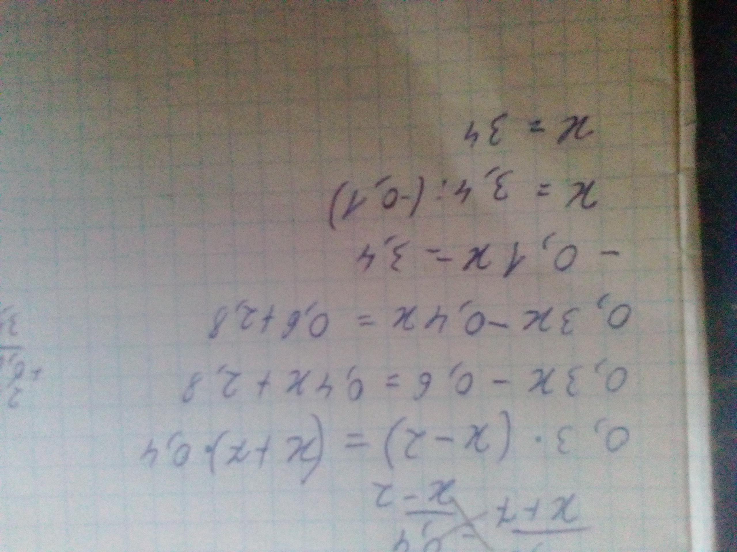
Ответ:

1)x=34

2)x=-34

Пошаговое объяснение:

Приложения:
Вас заинтересует