• Предмет: Математика
  • Автор: MariaKol225
  • Вопрос задан 8 лет назад

СРОЧНО!!
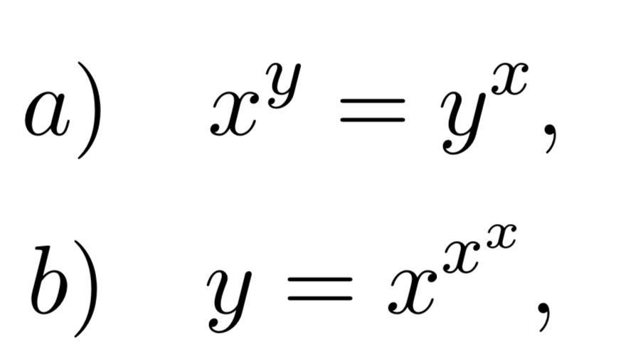
Помогите найти производную этих функций!!
Прошу, пожалуйста!!
Очень буду благодарна

Приложения:

Ответа на этот вопрос пока нет. Попробуйте найти его через форму поиска.

Вас заинтересует