• Предмет: Геометрия
  • Автор: DenisNab
  • Вопрос задан 8 лет назад

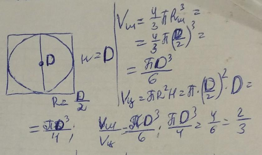
Диаметр шара равен высоте цилиндра, осевое сечение которого есть квадрат. Найдите отношение объемов шара и целиндра.

Ответы

Ответ дал: kirichekov
0

Ответ:

Vшара/Vцилиндра=2/3

Объяснение:

решение во вложении

Приложения:
Вас заинтересует