• Предмет: Математика
  • Автор: ROMHik96
  • Вопрос задан 8 лет назад

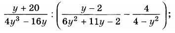
сократить дроби, если можно с шагами и объяснениями

Приложения:

Ответа на этот вопрос пока нет. Попробуйте найти его через форму поиска.

Вас заинтересует