• Предмет: Математика
  • Автор: abdullaevaajsel48
  • Вопрос задан 8 лет назад

Решите плизз побыстрееее​

Приложения:

Ответы

Ответ дал: vladrov
0

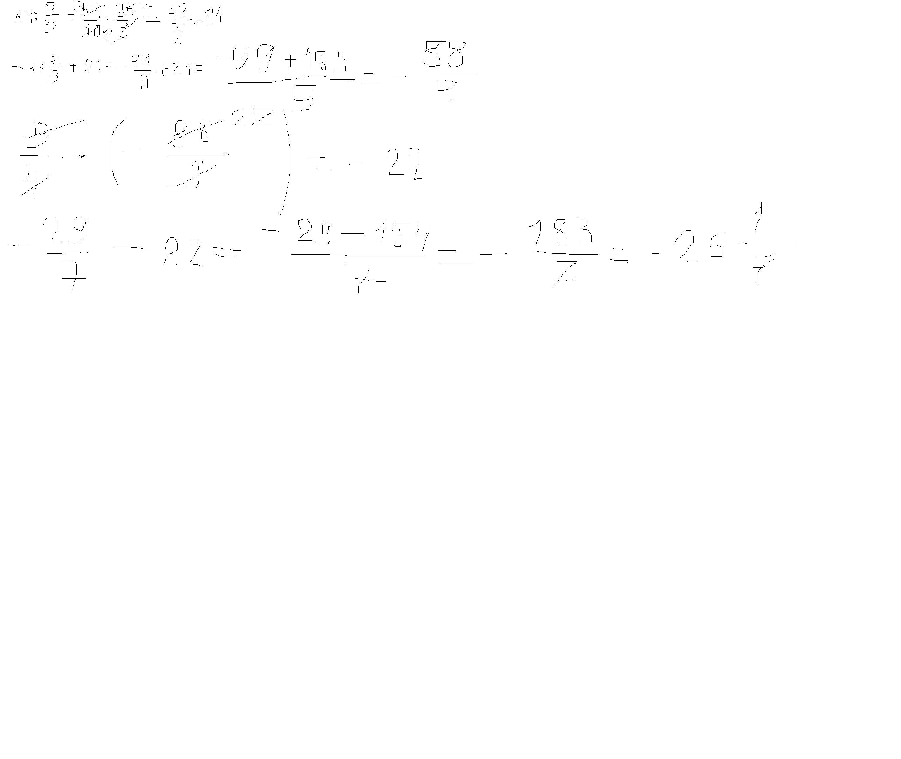
Ответ:

-26 1/7

Пошаговое объяснение:

Приложения:
Вас заинтересует